
이동식 크레인 양중작업의 안정성 검토 지침
1. 목 적
이 지침은 이동식 크레인에 의한 양중작업 시 넘어짐에 대한 안정성을 사전에 검토하기 위하여, 인양능력과 지지지반의 안정성 판단방법에 대한 기술적 사항 등을 정함을 목적으로 한다.
2. 적용범위
이 지침은 이동식 크레인에 의한 양중작업 시 넘어짐에 대한 안정성을 검토할 때에 적용한다.
3. 용어의 정의
(1) 이 지침에서 사용되는 용어의 뜻은 다음과 같다.
(가) “이동식 크레인”이라 함은 원동기를 내장하고 있는 것으로서 불특정 장 소에 스스로 이동할 수 있는 크레인으로 동력을 사용하여 중량물을 매달 아 상하 및 좌우(수평 또는 선회를 말한다)로 운반하는 설비로서 「건설 기계관리법」을 적용 받는 기중기 또는 「자동차관리법」제3조에 따른 화물·특수자동차의 작업부에 탑재하여 화물운반 등에 사용하는 기계 또 는 기계장치를 말한다.
(나) “안정성(Stability)”이라 함은 크레인 전도를 방지하기 위해 크레인의 상 태, 부하 조건에 따라 정해지며, 일반적으로 안정모멘트를 분자, 전도 모 멘트를 분모로 하여 비교한 값을 나타내며 이 값이 클수록 안정하다고 할 수 있다.
(다) “정격 총하중”이라 함은 인양된 최대 허용하중(붐 길이 및 작업반경에 따 라 결정)과 부가하중(훅와 그 이외의 인양된 도구들의 무게)을 합한 하중 을 말한다.
(라) “정격하중(Net Capacity/Net Rated Load)”이라 함은 정격 총하중(권상하 중 : Gross Capacity/Rated Load)에서 훅(Hook), 그래브, 버킷 등의 달기 구의 하중을 뺀 것을 말한다.[정격하중 = 권상하중-하중 공제요소(훅의 무게, 권상로프 및 줄걸이 용구의 무게)]
(마) “정격속도”이라 함은 정격하중에 상당하는 하중을 매달고 들어올림, 기 복, 주행, 선회 또는 트롤리의 수평이동시 최고속도를 말한다.
(바) “정하중”이라 함은 이동식 크레인 등의 자중과 인양하는 하중 등에 의한 부하가 크레인의 아웃트리거와 지지지반을 두고 작용하는 하중을 말한다.

<그림 1> 정격 총하중
(사) “임계하중”이라 함은 이동식 크레인이 최대로 들어 올릴 수 있는 하중과 들어 올릴 수 없는 하중의 경계하중을 말한다. 즉, 크레인이 최대하중을 들어 올렸을 때 크레인의 뒷부분인 카운터웨이트가 들리려는 순간의 하 중을 말한다. 임계하중은 기종별 규정된 아웃트리거 최대폭 신장 시를 기 준으로 한다.
(아) “충격하중”이라 함은 비교적 짧은 시간 내에 충격적으로 작용하는 하중을 말한다. 충격하중은 정하중과 비교하여 보통 1.3~5배 정도로 커지기 때 문에 구조물에 큰 영향을 미치게 된다. 충돌하는 물체의 무게에 어느 계
수를 곱한 값을 가지고 충격 하중을 나타내는 그 계수를 충격하중계수 (Impact Coefficient)라고 한다.
(자) “작업반경”이라 함은 크레인의 선회 중심선으로부터 훅의 중심선까지의 수평거리를 말한다. 최대 작업반경은 크레인 작업이 가능할 때의 최대치 를 말한다.

<그림 2> 작업반경과 인양높이
(차) “인양높이”이라 함은 지면으로부터 훅까지의 수직거리를 말하며 최대 인 양높이는 크레인의 인양높이 표의 최고점을 말한다.
(카) “인양하중표”이라 함은 거리별 하중능력을 숙지하여 하중표에 의한 정격 하중값 이내에서 작업을 실시할 수 있도록 명기된 표(작업반경 /붐길이 / 인양톤수)를 말하며, 기종별 규정된 아웃트리거 최대폭 신장시 기준이며, 정하중을 적용한다.
(타) “아웃트리거(Outrigger)”이라 함은 크레인 안정 장치의 일종으로 대차로 부터 빔을 수평으로 돌출시키고, 그 선단에 설치한 잭으로 지지하여 작업 시의 안정성을 유지 하기 위한 장치를 말한다. 지면이 평탄하지 않거나
연약한 지반에서는 필히 받침목 등을 사용하여야 한다.
(파) “아웃트리거 최대폭”이라 함은 크레인 작업 시 넘어짐 방지 및 차체보호 를 위하여 아웃트리거를 착지시키게 되는데, 크레인 제작사에서 규정하고 있는 최대로 인출할 수 있는 폭(전, 후측)을 말한다.
(하) “붐 길이”이라 함은 붐 하단부의 지지점으로부터의 붐 끝단의 아래 쉬브 핀까지의 축 길이를 말한다.
(거) “최대접지하중”이라 함은 접지압 분포의 최대치로 지지지반에 작용하는 하중으로 크레인 접지지반에 발생하는 압력분포를 말한다.
(너) “지내력”이라 함은 지반 위에 놓여지는 상부 구조체(이동식 크레인의 자 중과 인양물의 하중)를 안전하게 지지해주는 능력을 말한다. 지반의 파괴 뿐만 아니라 침하에 대한 안정까지를 포함한 개념을 말한다.
(2) 그 밖의 이 지침에서 사용하는 용어의 정의는 이 지침에 특별히 규정하는 경우를 제외하고는 산업안전보건법, 같은 법 시행령, 같은 법 시행규칙, 안 전보건규칙 및 고시에서 정하는 바에 따른다.
4. 이동식 크레인의 종류
국내 현장에서 주로 사용하는 이동식 크레인의 종류는 다음과 같다.
(1) 트럭 크레인(Truck Crane)
하부 주행체의 주행부에 타이어를 사용한 자주식 크레인이며, 하부 주행체 및 상부 선회체에 각각 운전석 혹은 한 개의 운전석을 가지고 있다. 일반 적으로 트럭 크레인 종류에는 ① 트럭 탑재형 크레인 ② 험지형 크레인
③ 전지형 크레인이 있다.

<그림 3> 트럭 크레인(Truck Crane)
① 트럭 탑재형 크레인(Cago crane)
- 카고 트럭 화물적재함에 소형 크레인을 설치한 것으로서 화물의 적재, 하 역, 운송이 가능한 크레인을 말한다.

<그림 4> 트럭 탑재형 크레인(Cago crane)
② 험지형 크레인(R/T Crane: Rough Terrain Crane)
- 주행과 크레인 작업이 한 개의 운전실에서 수행되며, 선회반경이 매우 작 아서 협소 공간 및 지형이 험한 곳의 작업에 매우 용이하다.

<그림 5> 험지형 크레인(Rough Terrain Crane)
③ 전지형 크레인(A/T Crane: ALL Terrain Crane)
- 트럭 크레인의 고속주행성과 험지형 크레인의 적은 회전반경의 장점을 취 합한 크레인으로서 작업성이 우수하며 모든 차축이 자유롭게 조향이 가능 한 것이 특징이다.

<그림 6> 전지형 크레인(ALL Terrain Crane)
(2) 크롤러 크레인(Crawler Crane)
- 하부 주행체의 주행부에 무한궤도 벨트를 사용한 자주식 크레인이며, 인 양효율이 좋아 대규모 현장에서 많이 사용된다.

<그림 7> 전지형 크레인(ALL Terrain Crane)
5. 안정성 검토시 고려하여야 할 일반사항
(1) 이동식 크레인의 선정 시에는 작업장 조건, 기상조건(풍향, 풍속, 기온 등), 지형, 작업반경을 고려한 이용가능 면적, 기계가 위치하는 지반 지지력, 취 급물의 중량, 형상, 크기, 인양높이 또는 거리, 이동속도, 이동회수, 작업량 등을 고려하여 선정하여야 한다.
(2) 이동식크레인의 작업반경과 인양높이, 인양하중과의 상관관계를 고려하여야 한다.
(가) 이동식크레인의 작업반경이 커지면 인양하중은 작아지고, 작업반경이 작 아지면 인양하중은 커진다.
(나) 수평면에 대한 붐의 각도가 커질수록 인양하중은 커지고, 붐의 각도가 작 아질수록 인양하중은 작아진다.
(다) 지브를 사용하면 인양하중은 현저히 작아진다.
(3) 크레인 붐의 각도가 작으면 하중을 들어 올릴 수 있는 능력이 떨어지고 각 도가 너무 큰 경우는 선회 시 요동이 심하거나 붐이 뒤로 넘어지는 일이 발생하므로 붐의 각도는 기본 붐의 최대허용각도 이내에서 사용토록 하여 야 한다. 일반적으로 55°~78° 범위가 적당하다.
(4) 임계하중 상태에서는 좌우로 회전할 경우 크레인이 넘어질 우려가 있으므 로 임계하중은 다음과 같이 산정하여야 한다.
(가) 아웃트리거가 장착되어 있는 트럭크레인의 작업하중은 임계하중의 85% 이내로 하고, 크롤러크레인(무한궤도크레인)의 작업하중은 임계하중의 75% 이내로 하여야 한다.
(나) 위험지역의 작업하중은 인양물을 높이 끌어 올리거나 깊은 굴착장소에 인양물을 반입시킬 때 와이어로프에 걸리는 스프링효과 때문에 실제의 중량보다 큰 중량을 이겨내야 되므로, 이를 고려하여 임계하중의 50% 이 내로 하여야 한다.
(다) 단면이 넓은 인양물(형강류, 철골 트러스, 패널류 등)의 작업하중은 바람 에 의한 하중의 급격한 변화, 자중에 의한 힘, 크레인의 수평선회에 따른 관성선회, 매어다는 부속설비에 의한 중량의 증가, 중심위치의 설정 등의 문제점 때문에 취급할 때에는 작업하중을 적게 책정하여 안전을 확보하 도록 하여야 한다.
(5) 이동식 크레인 양중작업의 안정성 검토는 인양화물에 대한 인양능력 검토 와 지반 지지력을 검토하여야 한다.
(가) 인양화물에 대한 인양능력의 적정여부를 판단하여 넘어짐 방지조치를 하여야 한다.
① 인양물의 크기, 중량, 붐 길이, 작업반경 등을 고려하여야 한다.
② 인양하중에 의한 인양능력은 이동식크레인 작업반경별 허용인양 하중표 를 검토하여 기종을 선정한다.
(나) 연약지반, 경사지반에 이동식 크레인을 설치 시에는 지반 지내력 검토를 통하여 부판․철판 설치 등의 침하방지 조치와 넘어짐 방지조치를 취하 여야 한다.
(다) 이동식 크레인의 화물 인양작업 시 크레인 전도를 방지하기 위한 과 경사 방지장치와 과 모멘트 방지장치 등을 사용한다.
(6) 정확한 기종이 선정되지 않았다면 절차에 따라 재검토를 하여야 한다.
(7) 도로, 철도 등 운행선 인접공사에는 반드시 장비신호수를 배치하여야 한다.
(8) 크레인 제작사의 인양하중표 등이 제시되어 있는 것은 제작사의 기준에 따 르고, 없는 것은 계산하여 사용하도록 하여야 한다.
6. 인양능력에 대한 안정성 검토
(1) 인양능력에 대한 안정성 검토 순서는 아래 <그림 8>과 같다.

<그림 8> 인양능력에 대한 안정성 검토 순서
(2) 다음 사항을 기준으로 인양물의 규격, 중량을 확인하여야 한다.
(가) 인양물의 형태에 따라 규격(폭, 높이, 길이, 지름 등)을 확인하여야 한다.
(나) 중량은 달기기구가 필요한 경우에는 부가하중을 포함하여야 한다.
(3) 다음 사항을 기준으로 이동식 크레인의 수직높이, 수평거리 등 설치위치를 확인하여야 한다.
(가) 수직높이는 설치높이에 인양물의 높이 또는 지름을 더하고 달기기구가 필요한 경우에는 그 높이를 더하여야 한다.
(나) 크레인이 작업할 부지에서 인양물과의 수평거리를 확인하여야 한다.
(4) 최대인양하중을 고려하여 사용할 예정인 이동식 크레인의 장비제원표를 확 보하여야 한다.
(5) 인양하중이 인양물의 중량이상인 기종을 선정하여야 한다.
(6) 인양물의 작업위치에 따라 수평거리를 확인하고 예상기종의 장비제원표를 확인하여 이동식 크레인의 선회중심으로부터의 작업반경을 다음 사항을 기 준으로 결정하여야 한다.
(가) 작업반경의 결정은 인양물의 설치위치에 의한 수평거리에 이동식크레인 의 외형도를 보고 작업반경에 대한 거리를 더하여야 한다.
(나) 델레스코픽형 크레인의 붐 신장은 기본붐→1단붐→2단붐→3단붐→4단붐
→5단붐의 순서로 하는 것으로 가정하여야 한다. 즉 역붐 사용을 억제하 여야 한다.(기본붐→1단붐→4단붐 등)
(7) 인양물의 작업위치에 따라 지상높이를 확인하고 인양하중범위 내에서의 작 업반경에 따른 붐 길이 및 격자식 붐의 조합을 다음 사항을 기준으로 검토 하여야 한다.
(가) 붐 조합도, 작업 범위도, 인양하중표를 보고 수직높이와 작업반경을 결정 하여야 한다.

<그림 9> 작업반경과 인양높이 예
(나) 인양하중표를 보고 작업반경에서 인양하중을 찾고, 붐 조합도를 보고 수 직높이를 고려하여 붐 조합을 결정하여 크레인의 인양능력을 확인하여야 한다.(아웃트리거 최대폭을 신장한 경우를 기준으로 함)
- 아래의 인양하중표에 따라 아웃트리거 최대폭 7.3m를 신장하였을 경우에 작업반경은 7m이고, 붐길이가 16m일 때 정격총하중은 20.9ton을 의미한 다. 다만, 정격총하중은 정하중 기준이므로 양중속도에 미치는 동하중의 영향은 추가 검토가 필요하다.

<그림 10> 인양하중표(아웃트리거 최대폭 신장시 기준) 예
(다) 인양물 중량과 크레인 인양능력을 비교하여 다음 사항을 고려하여 크레 인 인양능력이 인양물 중량보다 크게 되도록 하여야 한다.
① 인양하중표에서는 아웃트리거를 최대한 펼친 것을 기준으로 정격 총하중 을 제시하고 있지만, 아웃트리거를 미확장하거나 타이어가 지면과 접촉 되었을 경우에는 위험하므로 이때 인양 작업을 해서는 안 된다.
② 바람, 편평도, 스윙 등에 따른 충격이나 관성력 작용에 따른 충격하중을 고려하여야 한다.
③ 인양물의 무게와 붐의 길이에 따라 붐에 변위가 발생되어 실제 작업시 반경이 이론치보다 커지게 되므로 이를 고려하여야 한다.
④ 장비 설치시 수평오차(경사) 발생에 따라 작업반경이 증가하여 양중능력 이 감소하게 되므로 이를 고려하여야 한다.
(라) 인양조건은 바람의 영향이 없고, 지면이 수평된 상태에서 가만히 들고 내 리는 조건이므로 실제 작업 시에는 아래사항을 고려하여야 한다.
① 실제 인양작업 시에는 작업장 지면이 1% 기울면 인양하중표에서 20%를 감하여야 하고 2% 이상 기울면 작업중지를 하여야 한다.
② 바람이 초속 5~10미터 이상 불면 인양하중표에서 20%를 감하여야 하 고, 바람이 초속 18미터 이상은 작업중지를 하여야 한다.
③ 인양물을 들고 주행할 경우는 인양하중표에서 20%를 감하여야 하고, 인 양물를 들고 회전할 경우에도 인양하중표에서 20% 를 감하여야 한다.
(8) 공정, 공기 등과의 관련성, 경제성, 안정성 등을 고려하여 이동식크레인의 규격 및 기종을 결정하여야 한다.
(9) 크레인 규격보다 인양물의 중량이 적다하더라도 아웃트리거를 충분히 펼칠 수 없는 때에는 작업하중이 달라질 수 있으므로 작업하중 등을 재검토하여 야 한다.
(10) 선정된 이동식크레인의 외형도를 보고 진입로 및 작업반경 내의 부지면적 을 확보하고, 필요시 지반보강을 검토하여야 한다.
7. 지반 지지력 안정성 검토
7.1 지반 지지력 안정성 검토 및 지반 보강 검토 순서
(1) 지반의 지지력 확보에 대한 안정성 검토는 다음과 같은 순서로 하여야 한 다.
(가) 이동식 크레인의 작용하중, 최대접지하중 산정
(나) 지지지반의 평가
(다) 지지지반의 보강 검토
(2) 지반 보강을 위한 검토 순서는 아래 <그림 11>과 같다.
(가) 작용하중은 하이드로 방식 크레인의 아웃트리거에 작용하는 하중을 산정 하여야 한다.
(나) 작용하중은 동일한 이동식 크레인일 경우라도 붐의 길이 등 기계의 사양 이나 인양하는 물건의 중량, 작업반경 등 작업조건에 따라 변화하므로, 실제 사용조건에서 이동식 크레인에 작용하는 하중에 기초하여 지지지반 의 보강을 검토하여야 한다.
- 지반조사시 현장관입시험외에 추가로 실내압축시험을 수행하여 지지력을 비교 검토하여 지지력계산의 정확도를 높이도록 하여야 한다.

<그림 11> 지반 보강을 위한 검토순서
7.2 이동식 크레인의 작용하중(최대접지하중) 산정
(1) 이동식 크레인의 작용하중은 동일한 이동식 크레인이라도 사양이나 작업조 건에 따라 변화하기 때문에 안정성 검토 시에는 최대 접지하중(Pmax)을 사 용하여야 한다.
(2) 다음의 3가지 값(가, 나, 다) 중에서 가장 큰 최대값을 최대접지하중(Pmax) 으로 결정하여야 한다. 만약, 제작사별 장비 사용서에 제시된 최대접지하중 (Pmax)은 계산된 값과 비교․검토하여 사용하여야 한다.
(가) 크롤러 크레인 차체의 중량(W)과 인양물의 중량(W1)을 고려하여 최대접 지하중(Pmax)을 계산하는 방법 [방법 1]

<그림 12> 크롤러 크레인의 접지압 분포
① 크롤러 크레인의 경우는 무한궤도로 접지하므로, 주행시 하중은 크롤러 크레인의 자중이 무한궤도에 등분포하는 것으로 하고, 여기에 충격력 (30%)을 가한 것으로 한다. 충격하중 고려 시에는 충격하중계수 1.3을 고려하여 크롤러 크레인의 작용하중을 계산하여야 한다.
qo = 1.3 × (W + W1) / (2 × A)
여기서, qo : 주행시 접지압(MPa)
W : 크롤러 크레인 차체중량(KN) W1 : 인양물 중량(KN)
A : 한쪽 무한궤도의 접지면적(m2)
1.3 : 충격하중계수
② 작업 시 하중은 <그림 12(a)>와 같이 붐이 무한궤도 방향과 직교하고 있을 때는 붐측 무한궤도가 전체하중의 80%, 붐과 반대측 무한궤도에 20%로 하여야 한다. 붐이 무한궤도와 같은 방향일 때는 접지압은 <그림
12(b)>와 같이 좌우 무한궤도 모두 같은 값의 부분등변분포 하중으로 된다.
q1 = 1.3 × (W + W1) / (0.6 × A)
여기서, q1 : 작업시 최대접지압(MPa)
W : 크롤러 크레인 차체중량(KN) W1 : 인양물 중량(KN)
A : 한쪽 무한궤도의 접지면적(m2)
1.3 : 충격하중계수
0.6 : 접지하중 적용 길이(0.6L)
③ 붐이 기울기가 45도 방향에 있을 때의 접지압은 <그림 12(c)>와 같이 붐측의 무한궤도가 전체하중의 70%, 붐과 반대측의 무한궤도가 30%를 분담하고 각기 부분등변분포하중으로 된다.
q3 = 1.3 × (W + W1) × 0.7 × 2 /(0.9 × A) q4 = 1.3 × (W + W1) × 0.3 × 2 /(0.9 × A)
여기서, q3, q4 : 작업시 전, 후면 최대접지압(MPa) W : 크롤러 크레인 차체중량(KN)
W1 : 인양물 중량(KN)
A : 한쪽 무한궤도의 접지면적(m2)
1.3 : 충격하중계수
0.9 : 접지하중 적용 길이(0.9L)
④ 따라서, 일반적으로 크롤러 크레인에 작용하는 최대접지하중은 다음과
같이 계산하여야 한다.
|
㉮ 충격하중 미 고려시
Pmax = (W + W1) × 0.7 (KN) ㉯ 충격하중 고려시 Pmax = (W + W1) × 0.7 × 1.3 (KN) 여기서, Pmax : 최대접지하중(KN) W : 차체중량(KN) W1 : 인양물 중량(KN) 1.3 : 충격하중계수 |
(나) 아래 <그림 13>과 같이 트럭 크레인 붐의 위치에 따라 최대접지하중 (Pmax)을 계산하는 방법 [방법 2]

<그림 13> 트럭 크레인 아웃트리거에 대한 하중 배분
① 트럭 크레인은 작업 시에는 아웃트리거를 인출하여 지면에 내려놓으므로 작업하중은 모두 아웃트리거에 가해지며, 또한 붐의 방향에 따라서 달라 진다.
② <그림 13>과 같이 붐이 트럭의 전방 또는 후방 또는 측방에 있을 때는 붐측 2개의 아웃트리거에 각각 전체하중의 40%, 붐과 반대측 2개의 아 웃트리거에 각각 10%로 한다.
③ <그림 13>과 같이 붐이 기울기 45도 방향에 있을 때는 붐측에 있는 1개 의 아웃트리거에 전체하중의 70%, 중앙에 있는 대각선 방향의 2개의 아 웃트리거에 각각 15%, 후방1개의 아웃트리거는 0%로 한다.
④ 아웃트리거 접지부의 크기는 기종에 따라서 결정되지만 아래에는 철판 (두께 22 mm 이상) 등을 설치하는 경우가 많으며, 통상 500 × (500~ 600) mm 정도이지만, 지반이 연약한 경우는 좀 더 큰 것을 사용하여야 한다.
⑤ 주작업 위치인 붐이 기울기 45도 방향에 있을 때를 최대반력으로 간주하 고 붐이 회전하는 것을 고려하여 최대반력에 50%를 증가시켜야 한다. 이때, <그림 14>에서 보는 것처럼 붐 기울기가 45도 방향에 있는 크롤 러 크레인의 경우 접지전면 최대하중은 0.85W, 접지후면 최대하중은 0.15W이다. 따라서, 일반적으로 트럭 크레인에 작용하는 최대접지하중은 다음과 계산하여야 한다.

<그림 14> 접지최대하중
|
① 충격하중 미 고려시
Pmax = 0.85×(W + W1)×0.5×1.5 (KN) ② 충격하중 고려시 Pmax = 0.85× {(W + W1)×1.3)}×0.5×1.5 (KN) 여기서, Pmax : 최대접지하중 W : 차체중량(KN) W1 : 인양물 중량(KN) 1.3 : 충격하중계수 0.85 : 크롤러 크레인 전면접지 최대하중 적용계수 1.5 : 붐 회전을 고려한 최대반력 적용계수 0.5 : 작업방향에 대한 두 아웃트리거로 하중 분배 |
(다) 작용점이 아웃트리거 간 거리의 중심에 위치하며 최대반력은 약축인 경
우로 아웃트리거 한 본이 모두 지지할 경우로 가정하여 최대접지하중 (Pmax)을 계산하는 방법 [방법 3]
- 단, 충격 때의 하중과 모멘트 중심 대각선의 길이의 1/2를 정하여 아웃트 리거에 작용하는 최대작용 하중을 계산하여야 한다.

<그림 15> 최대반력계산

여기서, Pmax : 최대접지하중(KN) V : 작용하중(KN)
M : 모멘트(KN․m)
L : 약축의 경사길이(m) W : 차체중량(KN)
W1 : 인양물 중량(KN) R : 작업반경(m)
A, B : 아웃트리거 최대폭 간 거리(m)
L : 아웃트리거 A와 B의 경사거리를 2등분한 값(m)
7.3 지반조사를 통한 지반 지지력 평가
(1) 작업지반에서 이동식 크레인의 하중이 안전하게 지지되기 위하여 장비의 반입 전 지반조사를 통하여 지반지지력을 평가해 두어야 한다. 이때 지반의 지지력 측정이 곤란한 경우에는 지반의 종류에 따라 지지력을 추정하기 위 하여 「건축물의 구조기준에 관한 규칙 제 18조 및 별표 8」을 적용할 수 도 있다.
(2) 현장작업 지반의 지형도, 보링 주상도 등의 기존자료와 현지답사를 통하여 작업지반의 지지력을 개략적으로 조사하여야 한다. 이때, 지반지지력의 조 사는 이동식 크레인 반입 전에 실시하여야 하고, 반입로, 이동경로, 작업지 반은 다수지점을 조사토록 하여야 한다.
(3) 다음의 4가지 방법으로 지지지반의 지지력을 조사하여야 한다. (가) 지반조사(관입시험)로 지지력을 추정하는 방법
- 표준관입시험, 동적관입시험, 정적관입시험 등 (나) 지지력식에 의한 방법
- 점성토층의 흐트러지지 않은 시료를 채취하여 삼축압축시험실시
- 상기 (가)항의 관입시험으로 얻어진 N치 또는 단기허용지지력(qc) 등으로 점착력을 추정
(다) 경험적 지지력 방법(Building Code, 외국사례)
|
지지층
|
현장 연경도 상태
|
허용지지력(MPa)
|
|
|
범위
|
추천값
|
||
|
화강암, 변성암 현 무암
|
경질의 신선한 암
|
65~107
|
86
|
|
엽리성의 변성암,
슬레이트 편암 |
중간경질의
신선한 암 |
32~43
|
37.5
|
|
퇴적암, 경질의 세일,
실트암 |
중간경질의
신선한 암 |
16~27
|
21.5
|
|
풍화되거나 파쇄된 모암,
세일이외의 암 RQD<25 |
연암
|
8.5~13
|
10.5
|
|
컴펙션 세일, 신 선한
이질암 |
연암
|
8.5~16
|
10.5
|
(라) 평판재하시험으로 직접 확인하는 방법

<그림 16> 토사 지지력 평가방법
(4) 토질 및 기초 기술사 등 토질분야 기술자는 이동식 크레인의 작업하중으로 발생하는 침하량을 산출하여 지지력 침하량에 대하여 지지지반이 충분히 지지할 수 있는지 여부를 판정하여야 한다.
(가) 침하량 산정
① 하중을 받고 있는 기초의 침하는 탄성침하와 압밀침하로 대별되며, 압밀 침하는 포화점성토 지반에서 주로 발생하고, 사질토나 암반지반에서는 주로 탄성침하가 문제가 된다.
② 탄성침하량의 크기는 상재하중의 크기, 지반의 종류, 하부지반의 강성, 기초의 형상, 그리고 하부지반의 상대적인 강성의 크기 등에 따라 달라 진다.
③ 침하량 산정 절차는 아래와 같다.
- 지하수위를 포함한 지층 구성을 파악하고, 심도별 응력을 계산한다.
- 시공단계 및 완공 후 운영단계에서의 기초에 가해지는 하중의 크기 및 시간에 따른 재하율을 파악한다.
- 하중에 의한 지중응력 증가량을 구한다. 하중 재하폭이 검토대상 지층 두께에 비해 상당히 넓은 경우 1차원 압축거동으로 응력 증가량을 작용 하중으로 볼 수 있다.
- 반면, 얕은 기초와 같이 일반적으로 재하폭이 검토대상 지층 두께 이하인 경우 지중응력 증가량은 탄성이론, 경험식, 수치해석 등으로 구한다.
- 선행압밀하중을 파악하여 지반이 정규압밀 거동인지 과압밀 거동인지 파 악한다.
- 압밀침하량을 계산한다.
- 2차 압밀침하량을 구한다.
④ 탄성론에 근거한 즉시 침하량의 계산

여기서, Si : 지표면의 즉시침하량
Cs : 기초의 형상 및 강성에 따른 계수 q : 등분포하중의 크기
B : 기초의 재하 폭
E : 지반의 탄성계수 (비배수 조건)
ν : 지반의 포아송비
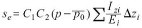
⑤ 침하량산정 방법 중 실무에서 가장 많이 쓰이는 일반적인 방법으로 기초 형상, 하중조건 및 지반조건을 고려한 Schmertmann 방법(사질토에서의 탄성침하량)

여기서, IZi : 임의의 층에 대한 변형률 영향계수 C1 : 기초의 근입깊이에 대한 보정계수
C2 : 흙의 크리프 (creep)에 대한 보정계수
p : 기초 바닥면의 재하응력(상부 및 기초구조물과 뒤채움재에 의 한 하중포함)
= γDf : 굴착깊이에 해당하는 상재압
Zi : 각 지층의 두께
Ei : 각 지층의 탄성계수
(나) 기초판 크기와 지지력 산정
① 크레인은 안정을 위해 기초판 크기와 지지력은 다음 각호에 적합하여야 한다.
② 기초판 크기는 다음 식으로 결정한다.

③ 지지력은 다음 식으로 검토한다.

여기서, e : 편심거리
M : 기초판의 지면에 작용하는 모멘트의 합 V : 기초판의 지면에 작용하는 수직력의 합 H : 풍하중에 의한 수평력
G : 기초판의 자중 h : 기초판의 높이 L : 기초판의 너비
(5) 현지답사 및 지반조사 결과에 기초하여 이동식 크레인의 작용하중에 대한 지반지지력 및 침하량을 검토하여 지지지반을 평가하여야 한다.
(가) 작업을 실시하고자 하는 지반에 사전 굴착 되메우기 등이 실시된 경우에 는 굴착 및 되메우기 등이 실시된 시기 등을 고려하여 지지지반을 평가 하여야 한다.
(나) 이동식 크레인에 동하중, 풍하중이 작용할 경우에는 동해석을 통한 검토 를 실시하여야 한다.
(다) 지반조사 결과를 바탕으로 지반지지력을 추정하여 지지지반을 평가하여 야 한다.
(라) 경사지 또는 요철지반 등과 같이 주의를 요하는 지반에서는 별도의 현장 여건을 고려한 상세한 검토를 실시하여야 한다.
① 경사지 또는 요철지반
② 지하매설물 바로 위의 지반
③ 포장구성이 얇은 포장노면 혹은 부석 포장도로
④ 경사부나 공사현장 터파기 부근
⑤ 조성지 성토부 및 절 성토 경계 부근
⑥ 매립지의 점성토가 날려 쌓인 부분
⑦ 지주 장해물 철거 혹은 말뚝 시공 후에 되메기 한 지반
⑧ 크레인 주행 등에 의한 교반으로 강도가 저하되기 쉬운 지반
⑨ 강우가 고이기 쉬운 지반
7.4 지지지반 보강 방법 및 검토
(1) 지반조사의 결과 지반지지력이 이동식 크레인의 작용하중 보다 작은 경우 에는 크레인의 넘어짐 등을 방지하기 위하여 지지지반에 대한 보강을 아래 와 같이 실시하여야 한다.
(가) 지지지반의 보강방법은 다음과 같은 방법으로 실시하여야 한다.
① 철판 등으로 이동식 크레인의 하중을 분산하는 방법
② 지반개량의 방법
③ 두가지 방법을 동시에 적용하는 방법
(나) 지하매설물에 대한 사전 확인후 보호조치를 취하여야 한다.
(다) 아웃트리거 하부 지반보강 시 고임목(Timber mats)이나 철판(Steel plates)을 사용하여 크레인 하중을 분산시켜야 한다. 이때 아웃트리거는 지면과 90°를 유지하여야 하고 전면에 걸쳐서 설치하여야 한다.

<그림 17> 지지지반 보강 검토 절차

<그림 18> 아웃트리거 부분 평지보강 절차
(2) 지지지반 보강에 대한 검토방법은 다음과 같이 실시하여야 한다.
(가) 지지철판을 설치하였을 때의 지지력을 검토하여 이동식 크레인 아웃트리 거에 작용하는 최대접지 하중과 비교하여야 한다.
(나) 보강 지지철판의 선정과 안정성 검토를 위하여, 아웃트리거에 작용하는 최대접지하중(Pmax)에 대한 지지력(q)은 다음과 같은 식에 의하여 계산하 여야 한다. 이때, 계산된 지지력(q)는 허용지지력 보다 작아야 안정하게 된다.

<그림 19> 크레인의 평지 보강(철판)
여기서, q : 지지력
Pmax : 아웃트리거에 작용하는 최대접지하중(KN) qa : 허용 지지력(MPa)
b : 보강부재의 단변(m) c : 보강부재의 장변(m)
(3) 보강부재의 휨검토 방법은 다음과 같이 실시하여야 한다.
(가) 지지철판의 휨모멘트 및 단변, 장변방향의 휨응력을 검토하여야 한다.
(나) 단변 및 장변방향 부재의 휨응력은 각부재의 허용휨응력 보다 작아야 하 고, 다음과 같은 식에 의하여 계산하여야 한다.
여기서, M : 휨모멘트(KN m)
f1 : 단변방향 휨응력(MPa) f2 : 장변방향 휨응력(MPa)
fb : 부재의 허용 휨응력(MPa)
a1 : 보강부재 끝에서 아웃트리거 끝단까지의 단변 방향 거리 a2 : 보강부재 끝에서 아웃트리거 끝단까지의 장변 방향 거리 t : 부재의 두께(m)
a : 보강부재의 끝에서 아웃트리거 끝단까지 거리(m) b : 보강부재의 단변(m)
c : 보강부재의 장변(m)
(4) 보강부재의 전단검토 방법은 다음과 같이 실시하여야 한다.
(가) 지지철판이 아웃트리거의 하중을 담당하므로 뚫림(펀칭)에 대한 안정성검 토를 위하여, 단변 및 장변방향의 전단검토를 실시하여야 한다.
(나) 각각의 전단력은 부재의 허용전단응력 보다 작아 부재의 안정성이 확보 될 수 있도록 지지철판이 설계되도록 하여야 한다.
여기서, v1 : 단변방향 수평전단응력(MPa)
v2 : 장변방향 수평전단응력(MPa) fs : 부재의 허용전단응력(MPa)
a1 : 보강부재 끝에서 아웃트리거 끝단까지의 단변 방향 거리 a2 : 보강부재 끝에서 아웃트리거 끝단까지의 장변 방향 거리 q : 지지력
부 록
부록 1. 건축물의 구조기준에 관한 규칙 제 18조
- 제18조(허용지내력) 지반의 허용지내력(許容地耐力)은 「건축구조기준」에 따른 지반조사 및 하중시험에 의하여 정하여야 한다. 다만, 지반조사 및 하 중시험에 의하지 아니하는 경우에는 별표 8에 따른 값으로 할 수 있다.
부록 2. 건축물의 구조기준에 관한 규칙 별표 8
[별표 8]
지반의 허용지내력(제18조 관련)
(단위 : kN/㎡)
|
지 반
|
장기응력에 대한
허용지내력 |
단기응력에 대한
허용지내력 |
|
|
경암반
|
화강암·석록암·편마암·안산암 등의
화성암 및 굳은 역암 등의 암반 |
4000
|
각각 장기응력에 대한 허용지내력 값의 1.5 배로 한다. |
|
연암반
|
판암·편암 등의 수성암의 암반
|
2000
|
|
|
혈암·토단반 등의 암반
|
1000
|
||
|
자갈
|
300
|
||
|
자갈과 모래와의 혼합물
|
200
|
||
|
모래섞인 점토 또는 롬토
|
150
|
||
|
모래 또는 점토
|
100
|
||
|
|
|||
'KOSHA GUIDE > 건설안전지침' 카테고리의 다른 글
| KOSHA GUIDE-건설안전지침-교량공사(라멘교) 안전보건작업지침 (1) | 2023.10.31 |
|---|---|
| KOSHA GUIDE-건설안전지침-타워크레인 설치․조립․해체 작업계획서 작성지침 (1) | 2023.10.28 |
| KOSHA GUIDE-건설안전지침-항타기·항발기 사용 작업계획서 작성지침 (0) | 2023.10.27 |
| KOSHA GUIDE-건설안전지침-굴착공사 계측관리 기술지침 (1) | 2023.10.26 |
| KOSHA GUIDE-화학공업지침-유해화학물질 저장 운반 및 취급에 관한 기술지침 (0) | 2023.10.25 |